[sqc_chart]
1-أدخل عدد القراءات، ثم اضغط على (إدراج).
2-ثم أدخل القيم، و اضغط على (احسب).
3-ستظهر النتيجة على شكل جدول وكذلك مخطط بياني.

ملاحظة:
1-بالرغم أن الأداة لا تتطلب إدخال وحدات للقيم، لكن يفترض أن تكون جميع القيم المدخلة لها نفس الوحدة.
2-جميع النتائج ستظهر بدون وحدات باعتبار أن لها نفس وحدات القيم المدخلة، ما عدا (RSD%) فإن وحدتها مئوية دوماً.


UCL = Average + (3 * SD)
UWL = Average + (2 * SD)
LWL = Average – (2 * SD)
LCL = Average – (3 * SD)
RSD% = (SD ÷ Average) × 100

معاني الاختصارات:
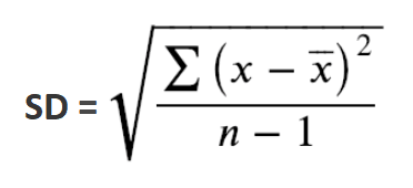
SD (Standard Deviation) : الانحراف المعياري.
n: عدد القراءات.
x: قيمة القراءة.
x̄: معدل القراءات.
UCL (Upper Control Limit) : حد التحكم الأعلى.
UWL (Upper Warning Limit) : حد التحذير الأعلى.
LWL (Lower Warning Limit) : حد التحذير الأدنى.
LCL (Lower Control Limit) : حد التحكم الأدنى.

مشاركة هذه الصفحة